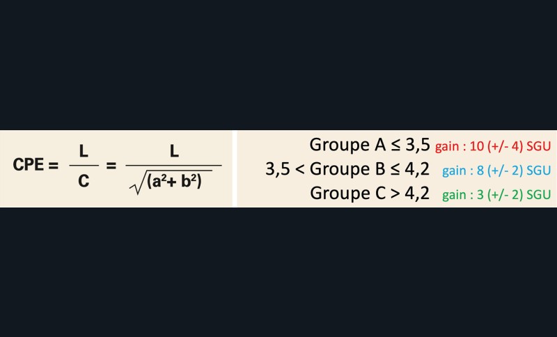
L’éclaircissement dentaire constitue l’un des traitements esthétiques les plus demandés en pratique clinique [1]. Cet intérêt croissant se reflète dans l’augmentation continue du volume de publications scientifiques consacrées à cette thématique au cours des deux dernières décennies [2]. Toutefois, une importante variabilité interindividuelle persiste, rendant difficile la prédiction du résultat final. Les dispositifs numériques de mesure colorimétrique, tels que les spectrophotomètres Easyshade (VITA Zahnfabrik) ou Cobra (Borea), permettent une évaluation fiable de la couleur dentaire à partir des coordonnées Lab* [3]. Les mesures colorimétriques issues de ces spectrophotomètres peuvent être mises en correspondance avec le teintier Vita Bleachguide grâce à l’indice SGU (Shade Guide Unit) [4, 5]. Le Coefficient Potentiel d’Éclaircissement (CPE), développé à partir des valeurs Lab*, a permis de quantifier le pronostic d’éclaircissement dentaire de manière simple, en s’affranchissant des interprétations subjectives. Toutefois, cette simplicité, bien que constituant un avantage, représente probablement une limite lorsqu’il s’agit de quantifier précisément le gain en SGU (ΔSGU) entre la situation initiale et l’état final post-éclaircissement (fig. 1) [6, 7].
Le présent article propose d’aller plus loin en s’appuyant sur une collecte de données élargie, intégrant l’âge du patient, la localisation de la dent ainsi que son historique clinique. L’objectif est de proposer un modèle de prédiction plus fiable du résultat d’éclaircissement grâce à une base de données initiale plus exhaustive.
Deux approches méthodologiques seront présentées :
- un modèle basé sur le CPE, combinant une équation linéaire simplifiée et des règles adaptatives ;
- un modèle plus complexe, de type best-of-breed, reposant sur l’exploitation de l’Intelligence Artificielle.

